製品特性
グリチルリチン酸粉末主な成分はグリチルリチン酸。本品は、
甘草から加工、抽出するものである。機能性がある甘味料や増香剤であり、豊かな甘草の味がある。食品、香辛料、サプリメント、タバコなどの製品に添加することができ、甘さを増加し、口臭を隠し、解毒、調(diào)味料、製品全體の味を軟化する。
応用
●食品、飲み物用
●煙草香辛料
●抗炎癥
植物ラテン名: 甘草屬 グラブラ
使用部:根
メイン成分:グリチルリチン酸
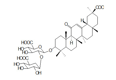
化學構造:

CAS No. : 1405-86-3
化學式: C42H62O16
分子量: 822.94
性狀:黃色、茶色粉末